注册
登录
首页
搜索
私人消息 (0)
公共消息 (0)
系统消息 (0)
好友消息 (0)
帖子消息 (0)
以酷破界网
»
教育培训/技能研修/考试辅导
» 交易玫瑰VIP学习班119课唯一完整版系统培训+103个配套文档+自编指标及配置文件
返回列表
发帖
旧瓶开新花
发短消息
加为好友
旧瓶开新花
1
#
跳转到
»
正序看帖
字体大小:
t
T
|
只看该作者
[提供]
交易玫瑰VIP学习班119课唯一完整版系统培训+103个配套文档+自编指标及配置文件
联系地址如下:
http://www.okzdx.com/thread-41476-1-1.html
发帖作者用户名:
绿眼睛
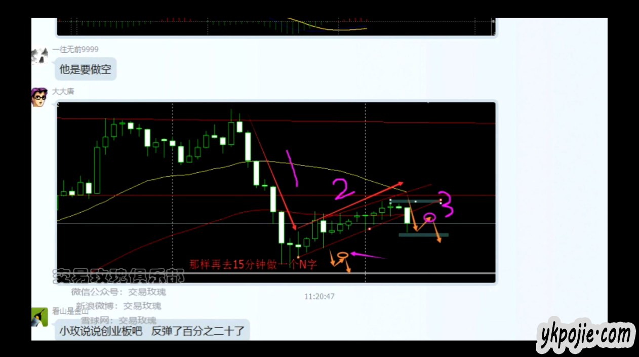
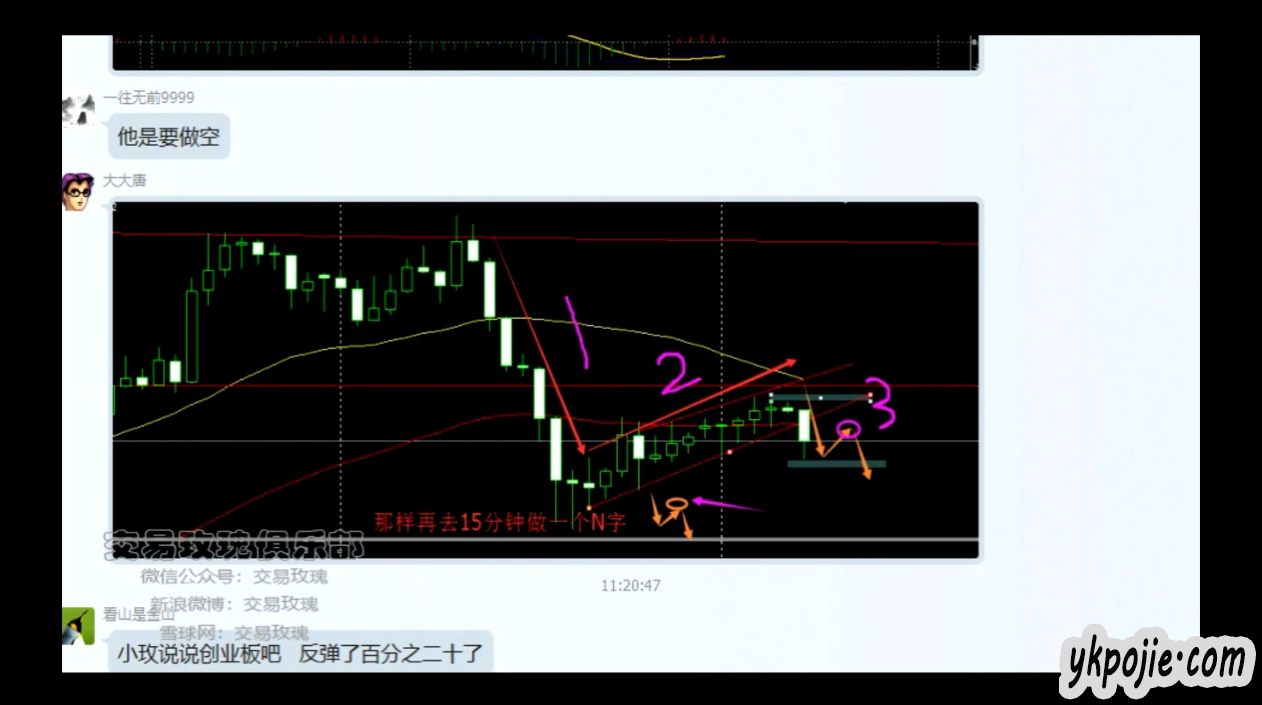
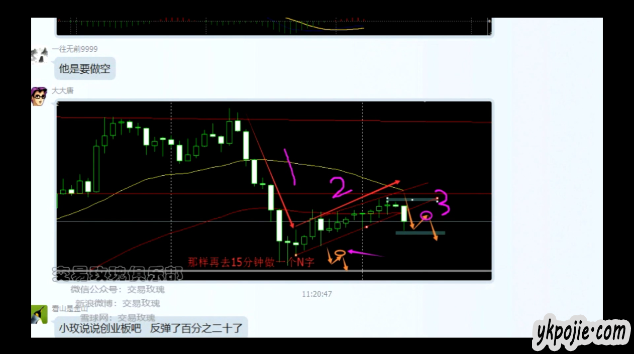
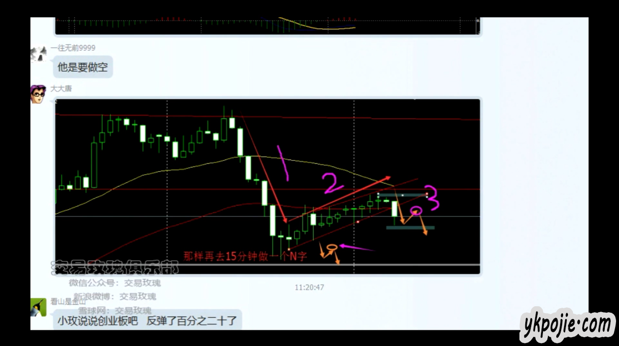
此帖包含的课程资料,为交易玫瑰俱乐部2017年至2018年,最后一次期货股票系统培训课程,此后再无培训。
本课程共119集,完整收录了所有培训课程,及配套相关的所有资料,无一缺漏。
该培训资料几乎包含了交易的所有方面,是我本人学习过的,最完整,最系统,最有效的课程。
课程资料简介:
交易玫瑰VIP学习班课程完整版119课
+赠送
交易玫瑰VIP学习班班长授课完整版8课
交易玫瑰VIP学习班群内资料完整版103个配套文档+自编指标及配置文件
点击以下链接查看预览视频:
https://pan.baidu.com/s/1Gf2YnHXY4ignjIJyPuuY5w
提取码:uhuq
解压密码:
koty9W6#iiy-g
视频随机截图如下:
下载
(215.03 KB)
下载
(171.99 KB)
下载
(383.37 KB)
下载
(489.93 KB)
下载
(284.05 KB)
下载
(376.77 KB)
下载
(183.91 KB)
下载
(376.56 KB)
下载
(414.32 KB)
下载
(303.67 KB)
下载
(500.45 KB)
下载
(322.26 KB)
下载
(318.94 KB)
下载
(471.22 KB)
下载
(416.13 KB)
下载
(240.08 KB)
下载
(317.41 KB)
本帖资料包含以下内容:
交易玫瑰VIP学习班课程完整版
1.玫瑰姐讲课20170818
2.2017_08_19 班长讲话
3.2017_08_19小玫姐讲话1
4.2017_08_19小玫姐讲话2
5.2017_08_19 小玫姐讲话3-关于斐波拉契的一些补充
6.2017_08_19高MM分享_2
7.交易玫瑰2017_08_20_10_03_32_36
8.交易玫瑰2017_08_20_10_41_10_403
9.交易玫瑰2017_08_20_风清扬分享系统完整版
10.九月第一节课交易的本质
11.讨论课:交易理念问答交流_2017.08.26
12.第二周课程:市场与我的关系
13.九月第二周课程-市场与我的关系问答交流(9月2日上半部分)
14.九月第二周交流 王鑫(股票)操作系统分享及点评(9月2日下半部分)
15.第三课:市场的结构是波浪NEW
16.九月第三课市场的结构是波浪讨论、仓位游戏、marc分享
17.答疑Dicy分享_2017-09-30
18.第四节课:N字结构
19.讨论课:N字讨论、非洲豹分享_2017.09.16
20.第五节课:资金管理一
21.讨论课:石头缝资金管理分享、小小袁系统分享(good)
22.20170909分享课:资金管理游戏
23.第六节课:资金管理二
24.讨论课:玫瑰直播课_2017-09-30
25.第七节课:N字的时空结构_2017-10-11
26.第七节讨论课:N字的时空结构(讨论课)
27.第八节课:观察回撤浪
28.第9节课答疑:玫姐交流_2017-10-28
29.第八节课:如何复盘
30.玫瑰姐互动:如何做到形神兼具
31.第九节课:观察背离
32.讨论课:回答背离,玫瑰点评各品种2017-10-28
33.第十节:级别_2017-11-01 53
34.第十节:级别交流课_高MM分享
35.第十一节课:N字的基本原理
36.玫瑰VIP群一(讨论课)2017_11_11
37.第十二节:认识自我
38.第十二节:认识自我(讨论课)2017_11_18
39.第十三节:量仓一
40.讨论课:第13节答疑
41.第十四节:量仓二
42.讨论课:班长玫瑰交流
43.讨论课:背包分享
44.第十五节课:量仓三
45.交流课:量仓三、拳名自然分享
46.第十六节课:顶底转换
47.第十六节交流课:黑平台那些事---交易小生分享
48.第十六节交流课:各品种班长分析
49.第十七节:多空力量强弱对比1
50.讨论课:多空力量强弱对比、石头缝分享
51.第十八课:多空力量强弱对比2
52.第十八课:多空力量强弱对比2(讨论课)2017_12_30
53.第十八课:多空力量强弱对比2(孔先生分享)20171230
54.第十八课:多空力量强弱对比2(讨论课)20171230
55.第十九课:时间框架(加密)
56.第二十课:反向理论
57.第二十课:反向理论讨论课20180113
58.第二十一节课:形态_0
59.讨论课:形态2018_01_20
60.第二十二课:碉堡
61.第二十二节:ZJL分享20180127
62.第二十三节课:回撤浪概述
63.第二十三节:回撤浪概述讨论20180203
64.第二十四课:回撤浪(弱反)
65.第二十四节:回撤浪(弱反)讨论课+班长品种点评20180210
66.第二十五课:逆势做单
67.讨论课:逆势做单交流+耐心分享20180303
68.实盘分析20180307
69.20180310 讨论课
70.盲测2018-3-14
71.分享课2018-3-17
72.市场互动分析20180321
73.周六讨论课20180324
74.第二十六节课:进场
75.第二十六节讨论课:AI故事+交流20180331
76.第二十七课:离场一
77.第二十七节:离场一讨论20180407
78.第二十八课:离场二三(加密)
79.第二十八课:离场二三讨论课20180414
80.第二十八节:离场二三交流课20180421
81.小玫姐朋友分享2018_04_28
82.第二十九课:交易计划(加密)
83.第二十九节:交易计划交流+阿邓同学分享20180519
84.博维分享2018_05_05_1
85.实盘分析20180523
86.周六实盘交流20180526
87.周六分享2018_06_02
88.周六实盘交流20180609
89.周六实盘分析20180616
90.周六实盘讨论20180623
91.周六实盘讨论20180630
92.实盘分析+非洲豹分享20180707
93.周六实盘分析20180721
94.周六实盘分析20180728
95.周六实盘分析20180804
96.周六实盘分析+孔老师分享第二季20180811
97.周六实盘分析+潇洒分享20180818
98.组长分享课:十年系统之建框架、补短板、找优势
99.专题答疑课:级别和时间框架的问题处理
100.互动分析:背离、压力支撑、区域和关键点的一些误区
101.交易玫瑰讨论课-理论的实际运用
102.玫瑰VIP群内加课-需要补充的问题
103.交易玫瑰群内加课:我们应该坚守的系统准则(上)
104.交易玫瑰群内加课:我们应该坚守的系统准则(下)
105.交易玫瑰群内加课: 玫瑰姐做要点补充1
106.交易玫瑰群内加课: 玫瑰姐做要点补充2
107.交易玫瑰群内加课: 玫瑰姐做要点补充3
108.交易玫瑰群内加课: 玫瑰姐做要点补充4
109.交易玫瑰群内加课: 玫瑰姐做要点补充5
110.交易玫瑰群内加课: 玫瑰姐做要点补充6
111.交易玫瑰群内加课:玫瑰姐的总结
+
赠送
交易玫瑰VIP学习班班长授课完整版
112.1-何为市场
113.2-时间周期和级别1
114.3-时间周期和级别2
115.4-N字走势的分类(找简单题目做的理念)
116.5-N字的嵌套
117.6-跟踪N字走势
118.7-大结构获利机会
119.8-资金管理
+
赠送
交易玫瑰VIP学习班群内资料完整版
8月26日VIP课程内容总结
VIP群内甲醇分析2017.9.20
交易玫瑰-几个重要的问题26页VIP学员资料完整版
交易玫瑰-均线的各种计算方法
交易玫瑰21万字交易精华汇总篇1
交易玫瑰21万字交易精华汇总篇2
交易玫瑰体系综述
交易玫瑰典型图解案例及详细解说133页VIP学员资料完整版
交易玫瑰历年高质量文章筛选汇总集95页VIP学员资料完整版
交易玫瑰形态图解14页VIP学员资料完整版
交易玫瑰手法和技术汇编手册12页VIP学员资料完整版
交易玫瑰核心战法一:系统构成18页VIP学员资料完整版
交易玫瑰核心战法二:心态修炼33页VIP学员资料完整版
交易玫瑰核心战法三:技战术串联组合的运用68页VIP学员资料完整版
交易玫瑰系统构成《我的交易经历》522页VIP学员资料完整版
交易玫瑰:时间框架对于交易的重要性
小玫姐心得-见山是山-交易系统的建立
小玫姐谈从实盘谈大局观16页VIP学员资料完整版
交易玫瑰VIP学员群-资金管理风控表
交易玫瑰辅助-外盘每周重要数据发布时间表
VIP群内学员交易经历精选汇总
B组Z潮——我是最优秀的交易员
Miles的交易经历介绍
ZJL的交易经历
danny.mui的交易经历分享
Σ的交易经历和感悟
一个理念之差就决定了我做交易的自我认同感和幸福感
交易11年-行星分享
交易的本质是游戏-维存分享
交易精灵的交易经历
交易系统的构成
交易经历-一路上
交易经历-妍
从个人经历谈模拟和复盘的重要性
余百圆交易经历
佛跳墙的交易经历
作业1_Steven我的交易经历
作业一交易经历-朱正珂分享
北京-wangxfg
十年一梦——鱼头的交易经历
博维的交易历程
大头帆小小袁的交易经历
大石榴榴的交易经历
天马的交易经历
小土豆--打铁的交易经历
小风车的糊涂经历
往事随风的交易经历
我的交易历程--Kanny
我的交易经历(william)
我的交易经历--汪维
我的交易经历-愚忠交易者
我的交易经历-我是谁
我的交易经历-知止
我的交易经历及对交易的理解-陽
投资经历-无名
无极变速的交易经历
无风自飞扬分享
易林分享
期货给我的最大收获(井底之蛙—卧蟾分享)
李鹏分享
欢喜爸爸的交易经历
浮生交易经历
潮汐观的分享
玫玫粉丝的交易经历
石头缝交易经历和问题
经历也是认识的渐变-see分享
维纳斯的天空交易经历
自流景的交易经历
蓦然回首分享
西游取金交易经历
阿邓的交易经历
陌生人的交易经历与系统
雨中狂人的交易经历和一点体会
韩娜娜的交易经历
风来的交易经历
风清云淡的交易经历与系统
龙一的交易经历分享
VIP群内学员作业精选
830思考写出否定我是优秀交易员?-刘洋作业
Lawrrence的回忆
值得纪念的忘却
当3下:我是一名优秀交易员
我是个优秀的交易员_Leon
我是个优秀的交易员吗-仁者不忧
我是优秀交易员吗-细雨
我是优秀交易员吗?学员:c组-小土豆打铁
我是优秀交易员-无风自飞扬
我是优秀交易员-根本
我是优秀的交易员-北京-wangxfg
我是优秀的交易员王鑫
我是优秀的交易员-阳光飞飞猪
我是最优秀的交易员吗 作业三 在路上
我是最优秀的交易员,倾听自我否定的声音-迅和
我是最优秀的交易员-西游取金
非洲豹作业--我是个优秀的交易员
辅助学习书籍
证券混沌操作法-低风险获利指南(高清校正版)
证券混沌操作法二
《克罗谈期货交易策略》中英对照20周年纪念版
专业投机原理一二册合订本
墨菲论市场互动分析[美]约翰·墨菲
思考快与慢-李鹏(木木鸟)分享
推荐阅读书单
群管理秘籍
股市金刚经
黑天鹅:如何应对不可预知的未来(美)纳西姆·尼古拉斯·塔勒布
+
赠送
交易玫瑰VIP自编指标
交易玫瑰-配置文件
收藏
分享
返回列表
[收藏此主题]
[关注此主题的新回复]
[通过 QQ、MSN 分享给朋友]